↓
 

Ohio Plants

The companion web site to EEOB 2210

  • HOME
  • Trees
  • Winter Botany
    • WOODY TWIG BIOLOGY
    • Twigs to Know
  • Conifers
  • Ferns
    • Fern Biology
    • Appalachian Gametophyte Article
  • Inflorescences
    • Inflorescences Explained
    • Photo Gallery Slide Show
  • Flowers and Fruits
    • Flowers & Fruit Biology
    • Fruits to know and love
  • Plant Families
    • PLANT FAMILIES
    • 8 ESSAYS
    • Plant Families Descriptions
    • Plant Families Questions
    • Floral Formula
    • Eight Asteraceae to know and love
  • Bryophytes
    • BRYOPHYTE BIOLOGY
    • MOSSES TO KNOW
    • GATHERING MOSS CHAPTERS
  • Ecosystems
    • FLORISTIC QUALITY ASSESSMENT INDEX
    • GEOBOTANY
    • Prairie
    • Darby Plains Prairie Plants
    • At the Tip of the Prairie Peninsula (John Mack 2002)
  • Invasives
  • Lichens
    • LICHEN BIOLOGY
    • LICHENS TO KNOW
  • Franklin County Flora
  • Dr. Klips’ Instagram Gallery
  • Fungi
  • ONLINE ARCHIVE (SU20)
    • TREES LECTURES
    • PLANT KINGDOM LECTURES
    • FLOWER LECTURES
    • FRUITS LECTURES
    • PLANT FAMILIES LECTURES
    • WOODY TWIG LECTURES
    • CONIFER LECTURES
    • MOSS LECTURES
    • OHIO GEOBOTANY
    • SEEDLESS VASCULAR LECTURES
    • LICHENS LECTURES
  • FIELD EXPERIENCE AU24 (external link)
  • QUIZ SET 1
    • Tree Genus Quiz
    • Tree Sketch ID Quiz
    • Dendrology Fun Facts Quiz
    • Moss Life Cycle Quiz
    • Plant Families Drawings Quiz
    • Flower Parts Quiz
    • Plant Families Photos Quiz
    • Plant Families Icons Quiz
    • Family Descriptions Quiz
    • Family Recognition Characters Quiz
    • Floral Formula Quiz
    • Fruit Types Quiz
    • Inflorescence Quiz
  • QUIZ SET 2
    • Twigs Quiz
    • Fruits to Know Quiz
    • Ferns Drawings Quiz
    • Conifers Quiz
    • Mosses Quiz
    • Lichens Quiz

Welcome to ohioplants.org, your on-line companion to flora classes across Ohio and the Midwest.
Look here for examples of the concepts covered in lecture and lab.
Visit dendro.ohioplants.org for info about woody plants
Visit u.osu.edu/marionprairie to learn about the Ohio State Marion Prairie.

Image navigation

← Previous Next →

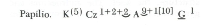
Fabaceae floral formula VPF_

Published May 23, 2024 at 800 × 104 in Fabaceae floral formula VPF_

Image navigation

← Previous Next →

test

qsqs
©2026 - Ohio Plants - Weaver Xtreme Theme
↑